In Fib gibt es die Problemstellung, dass ein Polynom (
) interpoliert werden soll, das eine feste Zahl für die Eingabe
hat, aber deren Ausgabewerte
in einem Bereich liegen können. Beispielsweise ist bei Funktionen auf Ganzzahlen die Eingabe eine Ganzzahl und die Ausgabe wird auf eine Ganzzahl
gerundet, wenn sie im Bereich
liegt. Dies kommt in Fib unter anderen vor, wenn die Helligkeit eines Punktes in Abhängigkeit von seiner Position berechnet werden soll ( z. B. mit "
" ). Wird in diesen Fällen nicht der Freiheitsgrad für die Ausgabe ausgenutzt, sondern nur ein fester Wert aus dem möglichen Ausgabewert zur Polynominterpolation gewählt (so dass ein übliches Verfahren angewendet werden kann), kann es zu starken Schwingungen des Polynoms kommen. Dann hat das Polynom viele unnötige Faktoren, die den Speicherplatzverbrach für ein Fib-Object nur unnötig erhöhen.
Deshalb wird im Nachfolgenden ein Verfahren vorgestellt, dass dies Freiheitsgraden berücksichtigt.
gegeben:
, mit
Gesucht wird das Polynom
; bzw. dessen Faktoren:
mit
.
Lösung:
setze untere Grenze
auf
und die obere auf
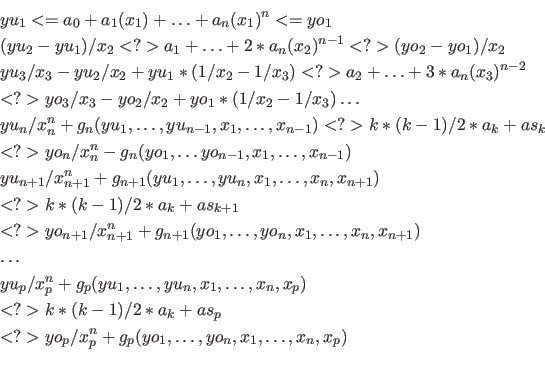
1. Lösungschema aufbauen:

2. in Dreiecksform bringen:
(
: Vergleich wird entsprechend gedreht wenn durch negative
geteilt wird)
ist das
mit groessten
, dessen untere und ober Grenze nicht gleich ist
ist der konstante Faktor, der sich aus den
mit jeweils gleicher untere und ober Grenze und dem
Wert der Ungleichung ergibt

2.b So Umformen, dass in jeder Ungleichung ein
(
Faktor fuer die
)

3. Lösungsschema umformen (zu
)
4. Faktoren Eingrenzen:
und y*; (enthaelt die Ungleichung einen inf Faktor kann nur dieser gewaehlt werden):
Faktoren so (auf jeweils ihre Ober- oder Untergrenze), dass sie Formel maximieren; bestimme dann
neu
sich zuletzt Aenderungen ergeben haben oder es noch nicht eingegrenzt wurde
mit Grenzen belegt und keine Änderungen, wähle jeweils einen Wert (den Mittelwert) fuer
aus seinen Bereich aus; beginne mit
mit kleinsten
dessen Grenzen noch nicht gleich sind und gehe dann jeweils wieder zum Schritt 4