next up previous contents index
Next: Order of the Fib Up: Definitions for Fib Previous: Definition of: complete Fib   Contents   Index


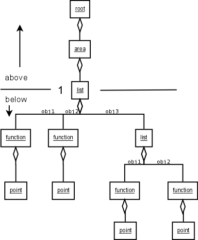
Definition of "below" and "above" in a Fib object

You can imagine a Fib object as a tree, wher the branch elements (e. g. root and the list elements) representing the branches in the tree. Because in computer science in general the root is displayed at the top, the Fib elements, which are contained in an element $Elm$, are below it, and the Fib elements, which are containing the element $Elm$, are above it.

Below a Fib element $Elm$ means, that the elements are meant, that the element $Elm$ directly or indirectly contains. In contrast, above a Fib element $Elm$ are the Fib elements, that are containing the Fib element $Elm$ directly or indirectly.

This is illustrated in figure 2. The list element in the middle, which is marked with 1 is the element with respect to which above and below is determined.

Figure 2: Example for "below" and "above" in a Fib object
Image above_below


next up previous contents index
Next: Order of the Fib Up: Definitions for Fib Previous: Definition of: complete Fib   Contents   Index
Betti Österholz 2013-02-13