next up previous contents index
Next: Definition of Fib multimedia Up: Definitions for Fib Previous: Definition: part object   Contents   Index


Order of the coherent part objects

There is an order on the coherent part objects as well. This will hereinafter also called order of part objects, as there are no own orders for the other types of part objects.

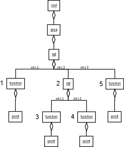
The orders of the (coherent) part objects is based on the order of the Fib elements. If in a complete Fib object $N$ (coherent) part objects exist, the numbers $1$ to $N$ are assigned to these part objects. The greater the number of a coherent part object, the greater is the smallest number in order of the Fib elements, of the Fib elements in it. Or: If to the top most Fib element of the subobject, which defines the coherent part object, a higher value assigned, than the defined part object is also associated with a higher value.

In figure 7 an example object with the corresponding numbers (next to the defining subobjects of the part objects) for the order of (coherent) part objects is shown.

Figure 7: Example: Order of (coherent) part objects
Image order_partobjects


next up previous contents index
Next: Definition of Fib multimedia Up: Definitions for Fib Previous: Definition: part object   Contents   Index
Betti Österholz 2013-02-13